Your browser does not support JavaScript, or has "active content" blocked; Menu system will not function.


Remapping Br or Blos: test report

Radial field Br in remapped images can be remapped directly from Br data on the solar disk (converted from line-of-sight field Blos) or remapped from Blos on the solar disk and then converted to Br. A cubic convolution is involved in this remapping process that is applied to Br in the former case and to Blos in the latter case. Would these two approaches produce the same (or similar) Br maps? A test is carried out to answer this question.

Mapping process (based upon projection methods):

When image data is mapped onto a heliographics coordinates, usually it is begun with the heliographic grid: computing the corrsponding location (x, y) on the image coordinates for each grid. This location is not necessarily at the center of one pixel. Thus an interpolation is applied to derive the value for this grid. Cubic convolution is a common method used to do interpolation.

Br is converted from Blos assuming that field is purely radial. This conversion can be applied to Blos on the image coordinates (image data; Method A), or on the heliographic coordinates (remapped data; Method B). Thus the cubic convolution is applied to Br for Method A and Blos for Method B. More specifically, Br = ⟨Blos/cos(ρ)⟩ for Method A; Br = ⟨Blos⟩/cos(ρ) for Method B. Here ρ is the center-to-limb angle. Cubic convolution involves 9 pixels. For each pixel, ρ is slightly different. This difference becomes larger toward the limb. Method A uses pixels that have Br converted exactly by the ρ in the very pixel; Method B averages Blos over the pixels and then converted to Br using an averaged ρ (kind of). It seems Method A is better than Method B. However, while Method A converts Blos to Br pixel by pixel, it also amplifies the noise by dividing cos(ρ). it becomes worse toward the limb. Method B, on the other hand, decreases the noise first by averaging Blos over the pixels, and then converts the average of Blos to Br. Noise in Method B should be lower than Method A. Would these two approaches yield a big difference in Br?


Fig. 1: Median of Br as a function of 1/cos(ρ)

Test report:

Test is designed as follows. Choose HMI full-disk 720-s line-of-sight magnetograms. Convert Blos to Br. In this way, we have pairs of Br and Blos on image coordinates. Draw circles with respect of the disk center for each pair. ρ is the same at each circle. For each point (x, y) on one circle, do cubic convolution on Br image to derive Br(x,y) = ⟨Blos/cos(ρ)⟩, and on Blos image and then divided by cos(ρ) to obtain Br(x, y) = ⟨Blos⟩/cos(ρ). Statistical analysis is performed with those points on this circle.

Median and rms of the points on each circles are calculated. Data used are at evrey three hours on 2011-01-01. Fig. 1 shows medians of absolute values of Br derived by Method B (top panel), Method A (middle), and their difference (bottom; Method B - Method A), as a function of 1/cos(ρ). The maximum ρ in this analysis is about 87.13 degree. As expected, median of magnetude of Br increases toward the limb, mostly due to increase of 1/cos(ρ) that is applied to convert Blos to Br. Difference between the two methods is very small within ρ = 84.3 degree (1/cos(ρ) = 10.0 in the plot). Mean of the differences at ρ = 84.3 degree from those eight dataset is 0.05 Gauss. The difference increases to 2.1 Gauss on average at ρ = 87.13 degree.


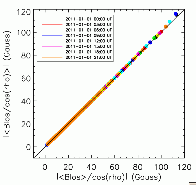
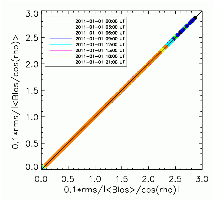
Fig. 2a: Scatter plot of Br Fig. 2b: Scatter plot of rms of Br

Scatter plot between median Br from Method A and method B is shown in Fig. 2a and rms is shown in Fig. 2b. Difference in rms in each circle indicates that distributions of Br from these two methods are similar.

Analysis on single pixel is conducted and the result is shown in Fig. 3. The upper panel shows maximum difference between Method A and Method B in each circle, as a function of 1/cos(ρ). Their percentages are shown in the bottom panel. Maximum difference at single pixel could reach 140%. Further examination for a couple of such pixels reveals that it happens when the pixel location is away from the disk center, and the values in the pixels involved in the cubic convolution (9x9 pixels) differ substantially (pixelwise like salt and pepper pattern). Suppose R_sun = 1924 (pixels). 1/cos(ρ) = 17.9 at pixel 1921. Its adjacent pixels have a 1/cos(ρ) = 21.9 at at 1922, and 15.5 at 1920. This yields a big difference between two methods if data is salt-pepper alike, mostly in quiet Sun area with significant noise. This effect is minimized in magnetic features due to much continuous distribution of magnetic field in general case.

Fig. 3: Maximum difference of Br

Conclusions:

In general, difference of Br in the remapped maps from two methods is ignorable. But, there are still some pixels having significant different values.



Solar Dynamic Observatory